Download
Open main menu
Home
Gallery
Faculty
Staff
Departments
Science
Management
Humanities
Education
HR
School Staff
Management committee
Non Teaching
Contact
Our Event Gallery
Browse photos from our various events.
All Events
Sports 2082
Manthali School Scouts
Information Communication Technology (ICT)
SEE_batch _2082_farewell_Program
Final Terminal Examination Result 2082( Grade 6,7,9)
Final Examination Result 2082 grade ECD to 5
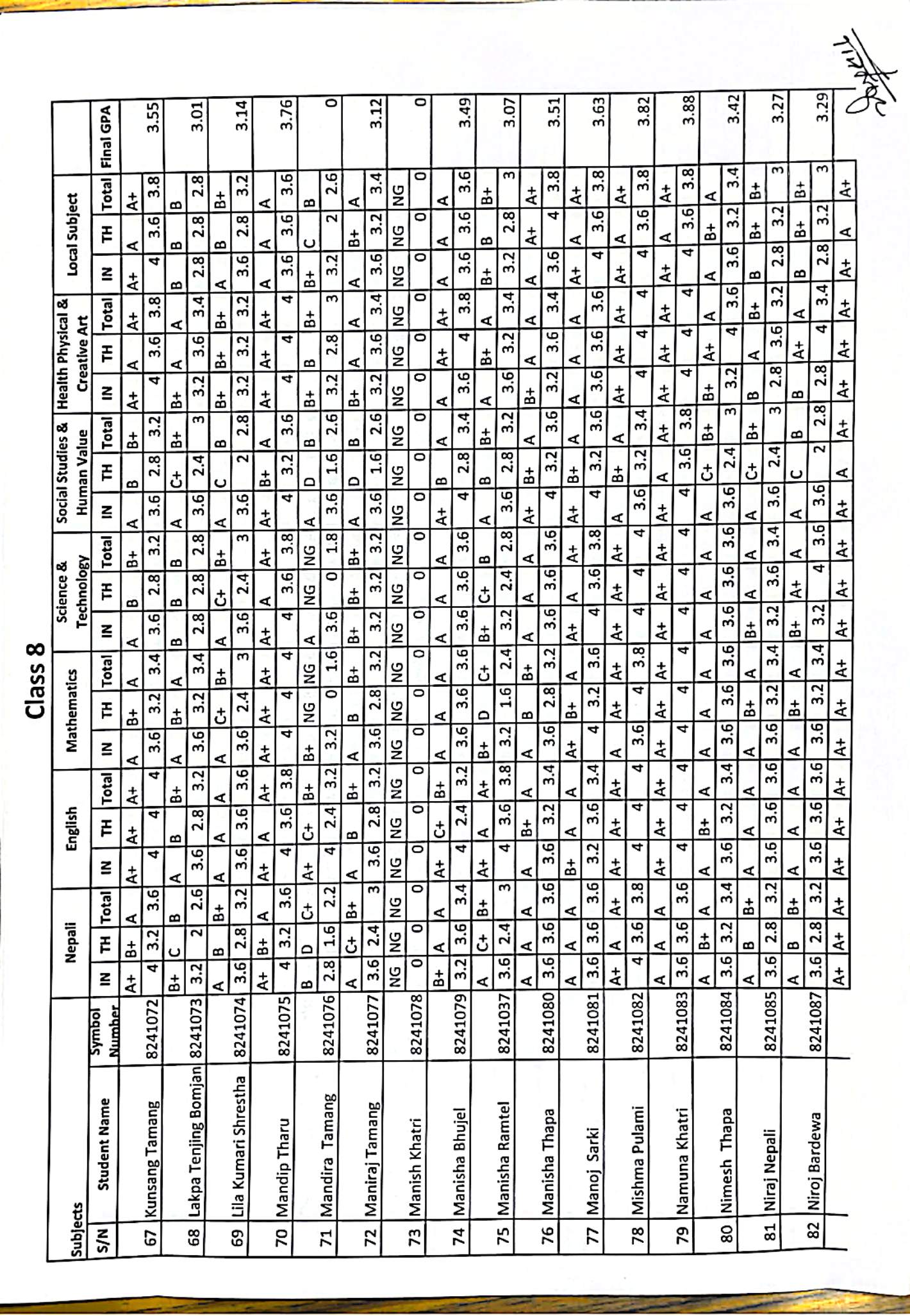
Class 8 BLE examination result 2082 . Congratulations all of you .
All Events
Load More
Show Less
Sports 2082
Load More
Show Less
Manthali School Scouts
Load More
Show Less
Information Communication Technology (ICT)
Load More
Show Less
SEE_batch _2082_farewell_Program
Load More
Show Less
Final Terminal Examination Result 2082( Grade 6,7,9)
Load More
Show Less
Final Examination Result 2082 grade ECD to 5
Load More
Show Less
Class 8 BLE examination result 2082 . Congratulations all of you .
Load More
Show Less
×